O concurso DPDF tem 290 vagas previstas na Lei de Diretrizes Orçamentárias (LDO) de 2026. O orçamento já está reservado para o provimentos de cargos na Defensoria Pública do Distrito Federal.
No documento está presente a seguinte distribuição de vagas: 250 destinadas para servidores (Carreira de Apoio à Assistência Judiciária) e 40 para Defensores Públicos.
Por meio da Portaria n° 84 de 17 de março de 2025, a comissão do Concurso DPDF, formada desde maio de 2024, foi declarada como oficialmente desconstituída.
A expectativa original era de que o novo Concurso DPDF ofertasse 7 vagas imediatas para o cargo de Analista de Apoio à Assistência Judiciária, além da formação de cadastro de reserva.
O último edital DPDF foi publicado em 2020 e ofertou 60 vagas imediatas para o cargo de Analista de Apoio à Assistência Judiciária em diversas especialidades. O Cebraspe foi o organizador.
Clique aqui para seguir o canal do Gran no Whatsapp!
Navegue pelo índice abaixo e confira tudo sobre o concurso DPDF:
- Concurso autorizado: análise
- Remunerações e benefícios
- Cargos e vagas
- Carreira
- Último concurso DPDF
- Materiais Gratuitos
- Depoimento de aprovado em concurso de Defensoria
- Resumo do concurso DPDF
- Cursos Online DPDF
- Assinatura Ilimitada
| Destaques: |

Garanta sua estabilidade financeira que só um concurso público garante, com o maior desconto do ano + bônus secreto. É pensando nisso que o Gran está preparando a Reinvenção 2026 com 5 novidades imperdíveis e um Panorama das melhores oportunidades para o próximo ano! Comece o ano bem informado com o Gran. Cadastre-se gratuitamente abaixo e participe!
Concurso DPDF autorizado
Saiba todas as informações do concurso público com o professor Eduardo Cambuy!
Concurso DPDF: situação atual
Veja abaixo o andamento da seleção:
Novo edital 2025
- 11 de agosto de 2025: previsto na LDO 2026
- 18 de março de 2025: a vice-governadora do Distrito Federal, Celina Leão, reforçou que as 290 vagas previstas estão em processo de autorização.
- 17 de março: comissão desconstituída
- 11 de março de 2025: Aprovação do PL 1.588/2025, que prevê a criação de 290 vagas para a Defensoria
- 20 de maio de 2024: comissão formada
- 3 de abril de 2024: autorização para novo concurso
Edital de 2020
- 22 de março de 2023: nomeações
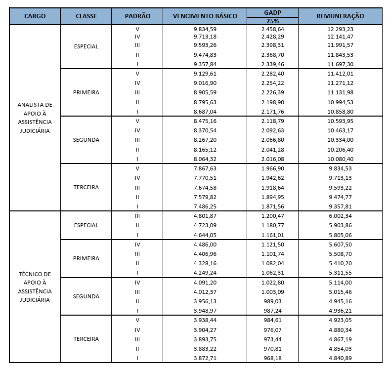
Concurso DPDF: remunerações e benefícios
De acordo com o Portal da Transparência da Defensoria Pública do Distrito Federal, a remuneração inicial para o cargo de Analista de Apoio à Assistência Judiciária é de R$ 9.357,81!
O valor é composto pelo vencimento básico mais a GADP – Gratificação de Atividade da Defensoria Pública, instituída pela Lei nº 7.101/2022, para os integrantes da Carreira Apoio à Assistência Judiciária, e calculada no percentual de 25% sobre o vencimento em que o servidor esteja posicionado.
Estrutura remuneratória
Com o tempo de trabalho, as remunerações aumentam. Confira no quadro a seguir os valores atualizados, de acordo com a Lei nº 7.270/2023:

Além disso, a Lei 4.426/2009 traz as gratificações. Confira os percentuais:
| Gratificação de Titulação | Adicional de Qualificação |
| 30% para Título de Doutor 20% para Título de Mestre 15% para Pós-Graduação, com carga de 360h 10% para Segunda Graduação | 4% certificado de capacitação com mínimo de 120h/aula 3% certificado de capacitação com mínimo de 90h/aula 2% certificado de capacitação com mínimo de 60h/aula |
Benefícios ofertados
Saiba outros benefícios concedidos aos profissionais:
- Adicional por tempo de serviço (anuênio);
- Adicional por serviço extraordinário (horas extras);
- Auxílio Transporte;
- Auxílio Natalidade;
- Auxílio Creche
- Licença prêmio por assiduidade e outros.
Concurso DPDF: cargos e vagas
O novo edital DPDF terá a oferta de 7 vagas imediatas mais a formação de cadastro de reserva para o cargo de Analista de Apoio à Assistência Judiciária.
Cargos vagos
De acordo com o Portal da Transparência da Defensoria Pública do Distrito Federal, atualizado em outubro de 2025, são 600 cargos vagos. A distribuição é a seguinte:
- Técnico de Apoio à Assistência Judiciária: 299 cargos vagos.
- Analista de Apoio à Assistência Judiciária: 301 cargos vagos
Concurso DPDF: carreira
Os candidatos nomeados estarão subordinados à Lei Complementar nº 840/2011, à Lei Distrital nº 4.516/2010 e às demais disposições legais aplicáveis.
Conheça abaixo as exigências para ingresso em cada ocupação e as atividades a desempenhar pelos profissionais.
Requisitos
De acordo com o edital anterior, para ingressar no cargo de Analista de Apoio à Assistência Judiciária, o candidato deve possuir os seguintes requisitos inerentes aos seu cargo.
- Direito e Legislação: Diploma em Direito
- Administração: Diploma em Administração
- Arquivologia: Diploma em Arquivologia e Registro no Conselho de Classe
- Arquitetura: Diploma em Arquitetura e Registro no Conselho de Classe
- Jornalismo: Diploma em Comunicação Social com habilitação em Jornalismo e Registro no Conselho de Classe
- Contabilidade: Diploma em Ciências Contábeis e Registro no Conselho de Classe
- Economia: Diploma em Ciências Econômicas e Registro no Conselho de Classe
- Engenharia Civil: Diploma em Engenharia Civil e Registro no Conselho de Classe
- Informática – Banco de Dados: Diploma em Tecnologia da Informação ou em qualquer área do conhecimento com especialização em Tecnologia da Informação
- Informática – Desenvolvimento de Sistemas: Diploma em Tecnologia da Informação ou em qualquer área do conhecimento com especialização em Tecnologia da Informação
- Informática – Redes: Diploma em Tecnologia da Informação ou em qualquer área do conhecimento com especialização em Tecnologia da Informação
- Psicologia: Diploma em Psicologia e Registro no Conselho de Classe
- Serviço Social: Diploma em Serviço Social e Registro no Conselho de Classe
Saiba os requisitos gerais para todas as ocupações:
- Estar em gozo dos direitos políticos.
- Estar quite com as obrigações militares, em caso de candidato do sexo masculino.
- Estar quite com as obrigações eleitorais.
- Ter idade mínima de 18 anos completos na data da posse.
- Ter aptidão física e mental para o exercício das atribuições do cargo e outros.
Atribuições
Compreende os serviços para cuja execução se exige dos titulares o devido registro no órgão fiscalizador da profissão ou o domínio de habilidades específicas a critério da administração, e a execução de atividades da mesma natureza e nível de complexidade determinadas em legislação específica, observadas as peculiaridades da especialidade vinculada ao cargo:
Direito e Legislação
Planejar, coordenar, supervisionar, avaliar e executar atividades referentes à análise de processos administrativos e judiciais; participar de programas de desenvolvimento que envolvam conteúdos relativos à área de atuação ou neles atuar; executar outras atividades de interesse da área
Administração
Coordenar, supervisionar, avaliar e executar atividades administrativas referentes à gestão de pessoas, finanças, orçamento, patrimônio, material, transporte, cargos e salários, e organização e métodos; participar de programas de desenvolvimento que envolvam conteúdos relativos à área de atuação ou neles atuar; executar outras atividades de interesse da área
Arquivologia
Planejar, coordenar, supervisionar, avaliar e executar atividades arquivísticas, estudos e pesquisas com enfoque histórico-administrativo sobre gerenciamento de informação e de gestão documental e sua aplicação; participar de programas de desenvolvimento que envolvam conteúdos relativos à área de atuação ou neles atuar; executar outras atividades de interesse da área
Arquitetura
Planejar, coordenar, supervisionar, avaliar e executar projetos de arquitetura, urbanização e paisagismo, definindo e especificando serviços e materiais; participar de programas de desenvolvimento que envolvam conteúdos relativos à área de atuação ou neles atuar; executar outras atividades de interesse da área.
Jornalismo
Planejar, coordenar, supervisionar, avaliar e executar atividades relacionadas à cobertura dos eventos e das reuniões, quando a DPDF for parte, e manifestar sobre os tópicos referentes à área de comunicação social; participar de programas de desenvolvimento que envolvam conteúdos relativos à área de atuação ou neles atuar; executar outras atividades de interesse da área
Contabilidade
Planejar, coordenar, supervisionar, avaliar e executar atividades relacionadas à contabilidade em geral, com vistas à elaboração orçamentária e ao controle da situação financeira e patrimonial; participar de programas de desenvolvimento que envolvam conteúdos relativos à área de atuação ou neles atuar; executar outras atividades de interesse da área
Economia
Planejar, coordenar, supervisionar, avaliar e executar atividades referentes à pesquisa, análise econômica e sua aplicação; participar de programas de desenvolvimento que envolvam conteúdos relativos à área de atuação ou neles atuar; executar outras atividades de interesse da área.
Engenharia Civil
Planejar, coordenar, supervisionar, avaliar e executar atividades referentes à pesquisa e estudo que visem ao conhecimento e interpretação das características técnicas e físicas dos projetos de construção civil; participar de programas de desenvolvimento que envolvam conteúdos relativos à área de atuação ou neles atuar; executar outras atividades de interesse da área.
Informática – Banco de Dados
planejar, coordenar, supervisionar, avaliar e executar atividades relacionadas aos sistemas informatizados do órgão; participar de programas de desenvolvimento que envolvam conteúdos relativos à área de atuação ou neles atuar; executar outras atividades de interesse da área.
Informática – Desenvolvimento de Sistemas
Ssupervisionar, avaliar e executar atividades relacionadas aos sistemas informatizados do órgão; participar de programas de desenvolvimento que envolvam conteúdos relativos à área de atuação ou neles atuar; executar outras atividades de interesse da área.
Informática – Redes
Planejar, coordenar, supervisionar, avaliar e executar atividades relacionadas aos sistemas informatizados do órgão; participar de programas de desenvolvimento que envolvam conteúdos relativos à área de atuação ou neles atuar; executar outras atividades de interesse da área.
Psicologia
Coordenar, planejar, supervisionar, avaliar e executar atividades referentes à Psicologia conforme área de atuação; participar de programas de desenvolvimento que envolvam conteúdos relativos à sua área ou neles atuar; executar outras atividades de interesse da área.
Serviço Social
Planejar, coordenar, supervisionar, avaliar e executar planos, programas e projetos sociais orientando indivíduos, famílias, comunidade e instituições sobre direitos e deveres; participar de programas de desenvolvimento que envolvam conteúdos relativos à área de atuação ou neles atuar; executar outras atividades de interesse da área.
Último concurso DPDF
O último concurso DPDF foi realizado em 2020 e ofertou 60 vagas imediatas para o cargo de Analista de Apoio à Assistência Judiciária.
A organização foi do Centro Brasileiro de Pesquisa em Avaliação e Seleção e de Promoção de Eventos (Cebraspe).
Confira abaixo quais foram as áreas oferecidas e o detalhamento do quantitativo de cargos:
| Especialidade | Ampla Concorrência | PcD | Negros | Total de Vagas |
|---|---|---|---|---|
| Direito e Legislação | 18 | 6 | 6 | 30 |
| Administração | 5 | 1 | 2 | 8 |
| Arquivologia | 1 | * | * | 1 |
| Arquitetura | 1 | 1 | * | 2 |
| Jornalismo | 1 | * | * | 1 |
| Contabilidade | 3 | 1 | 1 | 5 |
| Economia | 1 | * | * | 1 |
| Engenharia Civil | 1 | 1 | * | 2 |
| Informática/ Banco de Dados | 1 | * | * | 1 |
| Informática/ Desenvolvimento de Sistemas | 1 | 1 | * | 2 |
| Informática/ Redes | 1 | 1 | 1 | 3 |
| Psicologia | 1 | 1 | * | 2 |
| Serviço Social | 1 | 1 | * | 2 |
Etapas de provas
Os candidatos foram avaliados por três etapas. Conheça:
- Provas objetivas, de caráter eliminatório e classificatório;
- Prova discursiva, de caráter eliminatório e classificatório;
- Avaliação de títulos, de caráter classificatório.
Todas as etapas foram realizadas no Distrito Federal/DF.
Concurso DPDF: prova objetiva
A prova objetiva foi dividida em dois blocos: um de conhecimentos básicos, com 50 questões, e outro de conhecimentos específicos, com 70 questões no total.
Confira abaixo as disciplinas que foram cobradas:
Conhecimentos Básicos
- Língua Portuguesa
- Conhecimentos Sobre o DF
- Lei Orgânica do DF
- Lei Complementar 840/11
- Lei Complementar 828/2010
Conhecimentos Especializados
- Direito e Administração
- Direito Constitucional
- Direito Administrativo
- Direito Penal e Criminologia
- Direito Processual Penal
- Direito Civil
- Direito Processual Civil
- Direito do Consumidor
- Direito da Criança e do Adolescente
- Direitos Difusos e Coletivos
- Direitos Humanos
- História, Organização, Princípios e Normas da DPDF
Administração
- Administração Geral
- Administração Pública
- AFO
- Lei 4.990/2012
- Lei 8.666/1993 e Lei 10.520/2002
- Decreto 39.103/2018
Arquivologia, Arquitetura, Jornalismo, Contabilidade, Economia, Engenharia, Informática, Psicologia, Serviço Social
- Assuntos inerentes à área
Concurso DPDF: prova discursiva
A prova discursiva teve o valor de 50,00 pontos e consistiu de:
- Uma dissertação acerca de tema de atualidade, a ser respondida em até 30 linhas, com o valor de 20,00 pontos; e
- Três questões a respeito dos objetos de avaliação de conhecimentos especializados de cada cargo/área/especialidade, a serem respondidas em até 20 linhas cada, com o valor de 10,00 pontos cada – totalizando 30,00 pontos.
Concurso DPDF: avaliação de títulos
A avaliação de títulos valeu 10,00 pontos. Confira a organização a seguir:
| Título | Valor de cada título | Valor máximo dos títulos | |
|---|---|---|---|
| A | Diploma de curso de pós-graduação em nível de doutorado (título de doutor) na área/especialidade a que concorre. Também será aceito certificado/declaração de conclusão de curso de Doutorado na área/especialidade a que concorre, desde que acompanhado de histórico escolar | 2,00 | 2,00 |
| B | Diploma de curso de pós-graduação em nível de mestrado (título de mestre) na área/especialidade a que concorre. Também será aceito certificado/declaração de conclusão de curso de Mestrado na área/especialidade a que concorre, desde que acompanhado de histórico escolar | 1,00 | 1,00 |
| C | Certificado de curso de pós-graduação em nível de especialização, com carga horária mínima de 360 h/a na área/especialidade a que concorre. Também será aceita a declaração de conclusão de pós-graduação em nível de especialização na área/especialidade a que concorre, desde que acompanhada de histórico escolar. | 0,50 | 1,00 |
| D | Aprovação em concurso público na Administração Pública ou na iniciativa privada, para empregos/cargos na área/especialidade a que concorre, desde que não tenha sido utilizada na pontuação prevista na alínea E. | 0,15 | 0,30 |
| E | Exercício de atividade autônoma e(ou) profissional de nível superior na Administração Pública ou na iniciativa privada, em empregos/cargos/funções na área/especialidade a que concorre. | 0,60 p/ano completo, sem sobreposição de tempo | 4,20 |
| Total de Pontos | 8,50 |
Concurso DPDF: materiais gratuitos
Confira abaixo alguns materiais gratuitos que podem auxiliar na sua preparação para o Concurso DPDF:
- Análise do último edital publicado (vídeo)
- Coletânea dos últimos editais verticalizados (Analista de Apoio à Assistência Judiciária)
Para encontrar um acervo completo de materiais gratuitos para diferentes seleções, acesse por aqui!
Depoimento de aprovado em concurso de Defensoria
Ex-cortador de mato fez supletivo aos 32 anos e passou em 1º lugar na Defensoria Pública do RJ. Assista ao vídeo e emocione-se!
Prepare-se com o Gran: Assinatura Ilimitada X
Assine agora e receba acesso IMEDIATO a plataforma que mais aprova em concursos públicos e, o melhor, com acesso às 5 novidades da plataforma: Tutor 24h, Gran Comunidade, Banco de Discursivas Exclusivas, Vade Mecum Facilitado e o Guia do Aprovado. Faça o teste de 07 dias. O Gran está comprometido com a sua preparação! Satisfação garantida ou seu dinheiro de volta!
*Os cursos para OAB, CFC e Residências não estão disponíveis na Assinatura Ilimitada.
Resumo do Concurso DPDF
| Concurso DPDF | Defensoria Pública do Distrito Federal |
|---|---|
| Situação atual | Previsto |
| Banca organizadora | A definir |
| Cargos | Analista de Apoio à Assistência Judiciária |
| Escolaridade | Nível superior |
| Carreiras | Funções Essenciais à Justiça |
| Lotação | Brasília – DF |
| Número de vagas | 7 + Cadastro de reserva 290 vagas previstas, sendo 250 para servidores (Carreira de Apoio à Assistência Judiciária) e 40 para Defensores Públicos. |
| Remuneração | R$ 6.149,62* (*Sem incluir o cargo de Defensor) |
| Clique aqui e confira o edital DPDF 2020 | |
Quer ficar por dentro dos concursos públicos abertos e previstos pelo Brasil? Clique nos links abaixo:
Receba gratuitamente no seu celular as principais notícias do mundo dos concursos. Clique no link abaixo e inscreva-se:
![[REINVENÇÃO 2026] Captação – Cabeçalho](https://blog-static.infra.grancursosonline.com.br/wp-content/uploads/2025/12/17175313/Cabecalho-1238x216-1-1.webp)
![[REINVENÇÃO 2026] Captação – Post](https://blog-static.infra.grancursosonline.com.br/wp-content/uploads/2025/12/17175608/Post-730x150-1-1.webp)



Boa tarde, acabo de ter acesso ao gabarito definitivo do Cebraspe DP/DF, minha nota líquida inicial era de 107,5, com a esperança de recorrer de algumas questões e alcançar a possível nota de corte “115”, no entanto, acredito que a nota de corte saiu em torno de “120” e minha pontuação líquida baixou para 72,92.
Suplico ajuda, algum auxílio para tentar entender esse calculo muito maluco e verificar a possibilidade de recorrer.
Abaixo os detalhes de minha nota:
De 200 questões deixei 10 em branco
Dessas 190 acertei 134
ERRADAS: 54
A banca anulou 8 q (6 que tinha acertado e 2 errado) .
No aguardo,
Muito obrigada!
Eliane,
A conta é: 128 certas (134 MENOS 6 anuladas) MENOS 52 erradas (54 menos 2) = 76 pontos.
Essa prova será aplicada somente no DF? Eu sou de SP e não achei no edital se aplicarão a prova no meu estado.
Fico grato se alguém souber me informar.
Obrigado.
Boa tarde!
Apenas no Distrito Federal.
nao sei o porquê de ficar mostrando tabela salarial.Tudo vai mudar depois da reforma. Mudará remuneração e estabilidade.