Novidades sobre o concurso SEED RR! Recentemente o governador do estado de Roraima, Antônio Denarium, afirmou em entrevista que diversos concursos públicos estão em planejamento para 2026.
Entre as área citadas estão educação, indicando que um novo concurso da Secretaria do Estado da Educação e Desporto do Estado de Roraima pode acontecer.
Em 2022 foram nomeados 1.000 professores indígenas do último certame, que publicou edital em 2021. Confira o documento completo em “situação atual”.
É importante ressaltar que este foi o primeiro concurso específico para atender as comunidades indígenas realizado no Brasil. As remunerações ofertadas chegaram a R$ 3.782,94, para carga horária de 30 horas semanais.
Confira todas as informações sobre o Concurso Seed RR navegando abaixo:
- Situação atual
- Remuneração e benefícios
- Cargos e vagas
- Inscrições
- Etapas da prova
- Último concurso
- Materiais gratuitos
- Resumo e edital do concurso SEED RR
- Curso Online
- Assinatura Ilimitada
| Destaques: |
Concurso SEED RR: Situação atual
Situação atual: professores de educação indígena
- 28/07/22: Nomeações
- Homologação do resultado final
- Resultado definitivo prova objetiva ampla concorrência
- Resultado definitivo prova objetiva PCD
- Resultado definitivo prova discursiva
- 06/06/22: termo aditivo ao edital
- 20/03/22: aplicação das provas
- 25/01/22: retificação do cronograma
- 7/01/22: edital retificado
- 29/12/21: edital retificado
- 14/12/21: edital publicado
Situação atual: professores da educação básica
- 15/12/2025: Governador indica realização de novo concurso
- 10/03/22: nomeação de candidatos
- 30/11/21: resultado/classificação preliminar
- 4/10/21: retificação no edital
- 24/09/21: relação dos inscritos
- 16/08/21: inscrições prorrogadas
- 30/06/21: publicação do edital
Concurso SEED RR: Remunerações e benefícios
A remuneração da SEED RR tem como base a Lei Nº 892 de 25 de janeiro de 2013, prevendo valores para Professor da Educação Básica e Professor da Educação Indígena, com cargas horárias que variam entre 25h, 30h e 40h.
Confira o detalhamento por cargo a seguir.
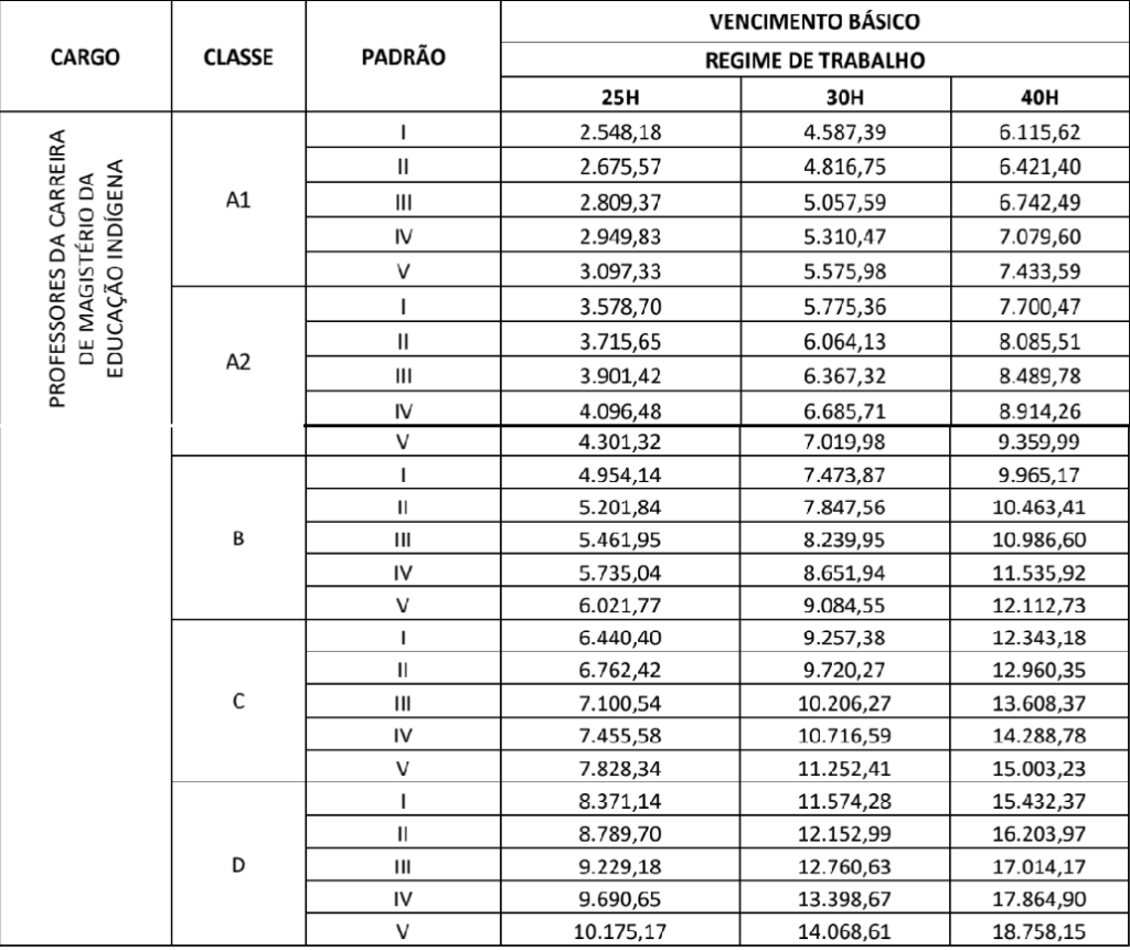
Remunerações e benefícios: Professores de educação indígena
O concurso SEED RR, destinado ao provimento de vagas para professores de educação indígena, oferta remunerações que variam de R$ 2.548,18 a R$ 18.758,15, variando de acordo com a carga horária e o padrão.
Confira a classificação para Professores da Carreira de Magistério da Educação Indígena:

Remunerações e benefícios: Professores da educação básica
O concurso SEED RR para professores da educação básica oferta remuneração de R$ 3.538,70 a R$ 18.758,15, conforme carga horária e nível.
Confira a classificação para Professores da Carreira de Magistério da Educação Básica:

Concurso SEED RR: Cargos e vagas
O concurso SEED RR especifica o cargo de Professores da Carreira de Magistério da Educação Indígena com a divisão de Classe A1 e Classe A2.
Professores de educação indígena: Classe A1
Professor da Carreira de Magistério da Educação Indígena
- Requisito para Provimento: Nível Médio completo com Magistério.
- Atuação: Língua Indígena / Multidisciplinar/Bilíngue (Língua Portuguesa e Língua Indígena).
- Anos Iniciais do Ensino Fundamental (1º ao 5º ano).
- Disciplina: Multidisciplinar.
| MUNICÍPIO PARA PROVIMENTO | LÍNGUA MATERNA | AMPLA CONCORRÊNCIA | RESERVA PcD | QUANTIDADE TOTAL DE CARGOS |
|---|---|---|---|---|
| Alto Alegre | Macuxi | 8 | – | 8 |
| Alto Alegre | Wapichana | 7 | – | 7 |
| Alto Alegre | Yanomami | 7 | – | 7 |
| Amajari | Macuxi | 4 | – | 4 |
| Amajari | Taurepang | 2 | – | 2 |
| Amajari | Wapichana | 10 | 1 | 11 |
| Amajari | Yanomami | 5 | – | 5 |
| Amajari | Yekuana | 3 | – | 3 |
| Boa Vista (Rural) | Macuxi | 3 | – | 3 |
| Boa Vista (Rural) | Yanomami | |||
| Bonfim | Wapichana | 17 | 1 | 18 |
| Cantá | Wapichana | 14 | 1 | 15 |
| Caracaraí | Yanomami | 5 | – | 5 |
| Caroebe | Wai Wai | 7 | – | 7 |
| Iracema | Yanomami | 3 | – | 3 |
| Normandia | Macuxi | 47 | 3 | 50 |
| Normandia | Wapichana | 5 | – | 5 |
| Pacaraima | Macuxi | 47 | 2 | 49 |
| Pacaraima | Taurepang | 9 | 1 | 10 |
| São João da Baliza | Wai Wai | 1 | – | 1 |
| Uiramutã | Ingaricó | 18 | 1 | 19 |
| Uiramutã | Macuxi | 62 | 3 | 65 |
| Uiramutã | Patamona | 2 | – | 2 |
Professores de educação indígena: Classe A2
Professores da Carreira de Magistério da Educação Indígena- Portugês
- Requisito: Nível Superior com Licenciatura em Língua Portuguesa
- Séries: 6.º ao 9.º ano
| MUNICÍPIO PARA PROVIMENTO | AMPLA CONCORRÊNCIA | RESERVA PcD | QUANTIDADE TOTAL DE CARGOS |
|---|---|---|---|
| Alto Alegre | 7 | – | 7 |
| Amajari | 7 | – | 7 |
| Boa Vista (Rural) | 8 | – | 8 |
| Bonfim | 13 | 1 | 13 |
| Cantá | 7 | – | 7 |
| Caroebe | 1 | – | 1 |
| Normandia | 22 | 1 | 23 |
| Pacaraima | 24 | 1 | 25 |
| Uiramutã | 29 | 2 | 31 |
Professor da Carreira de Magistério da Educação Indígena- Espanhol
Requisito: Nível Superior com Licenciatura em Língua Espanhola
| MUNICÍPIO PARA PROVIMENTO | AMPLA CONCORRÊNCIA | RESERVA PcD | QUANTIDADE TOTAL DE CARGOS |
|---|---|---|---|
| Alto Alegre | 4 | – | 4 |
| Amajari | 6 | – | 6 |
| Boa Vista (Rural) | 8 | – | 8 |
| Bonfim | 1 | – | 1 |
| Cantá | 3 | – | 3 |
| Caroebe | 1 | – | 1 |
| Normandia | 14 | 1 | 15 |
| Pacaraima | 16 | 1 | 17 |
| Uiramutã | 14 | 1 | 15 |
Professor da Carreira de Magistério da Educação Indígena – Inglês
Requisito: Nível Superior com Licenciatura em Língua Inglesa
| MUNICÍPIO PARA PROVIMENTO | AMPLA CONCORRÊNCIA | RESERVA PcD | QUANTIDADE TOTAL DE CARGOS |
|---|---|---|---|
| Alto Alegre | 1 | – | 1 |
| Bonfim | 7 | – | 7 |
| Pacaraima | 1 | – | 1 |
| Uiramutã | 5 | – |
Professor da Carreira de Magistério da Educação Indígena – Educação Física
Requisito: Nível Superior com Licenciatura em Educação Física.
| MUNICÍPIO PARA PROVIMENTO | AMPLA CONCORRÊNCIA | RESERVA PcD | QUANTIDADE TOTAL DE CARGOS |
|---|---|---|---|
| Alto Alegre | 3 | – | 3 |
| Amajari | 7 | – | 7 |
| Boa Vista (Rural) | 6 | – | 1 |
| Bonfim | 8 | – | |
| Cantá | 4 | – | 4 |
| Caroebe | 1 | – | 1 |
| Normandia | 14 | 1 | 15 |
| Pacaraima | 18 | 1 | 19 |
| São João da Baliza | 1 | – | 1 |
| Uiramutã | 12 | 1 | 13 |
Professor da Carreira de Magistério da Educação Indígena – Matemática
Requisito: Nível Superior com Licenciatura em Matemática.
| MUNICÍPIO PARA PROVIMENTO | AMPLA CONCORRÊNCIA | RESERVA PcD | QUANTIDADE TOTAL DE CARGOS |
|---|---|---|---|
| Alto Alegre | 9 | – | 9 |
| Amajari | 9 | – | 9 |
| Boa Vista (Rural) | 9 | – | 9 |
| Bonfim | 9 | – | 9 |
| Cantá | 5 | – | 5 |
| Caroebe | 1 | – | 1 |
| Normandia | 21 | 1 | 22 |
| Pacaraima | 25 | 1 | 26 |
| São João da Baliza | 2 | – | 2 |
| Uiramutã | 26 | 1 | 27 |
Professor da Carreira de Magistério da Educação Indígena- Ciências Biológicas
Requisito: Nível Superior com Licenciatura em Ciências Biológicas.
| MUNICÍPIO PARA PROVIMENTO | AMPLA CONCORRÊNCIA | RESERVA PcD | QUANTIDADE TOTAL DE CARGOS |
|---|---|---|---|
| Alto Alegre | 4 | – | 4 |
| Amajari | 4 | – | 4 |
| Boa Vista (Rural) | 4 | – | 4 |
| Bonfim | 5 | – | 5 |
| Cantá | 1 | – | 1 |
| Normandia | 12 | 1 | 13 |
| Pacaraima | 15 | 1 | 16 |
| São João da Baliza | 1 | – | 1 |
| Uiramutã | 15 | 1 | 16 |
Professor da Carreira de Magistério da Educação Indígena- Geografia
Requisito: Nível Superior com Licenciatura em Geografia.
| MUNICÍPIO PARA PROVIMENTO | AMPLA CONCORRÊNCIA | RESERVA PcD | QUANTIDADE TOTAL DE CARGOS |
|---|---|---|---|
| Alto Alegre | 4 | – | 4 |
| Amajari | 3 | – | 3 |
| Boa Vista (Rural) | 3 | – | 3 |
| Bonfim | 9 | – | 9 |
| Cantá | 2 | – | 2 |
| Normandia | 12 | 1 | 13 |
| Pacaraima | 14 | 1 | 15 |
| São João da Baliza | 1 | – | 1 |
| Uiramutã | 16 | 1 | 17 |
Professor da Carreira de Magistério da Educação Indígena
Requisito: Nível Superior com Licenciatura em Filosofia.
| MUNICÍPIO PARA PROVIMENTO | AMPLA CONCORRÊNCIA | RESERVA PcD | QUANTIDADE TOTAL DE CARGOS |
|---|---|---|---|
| Alto Alegre | 1 | – | 1 |
| Amajari | 1 | – | 1 |
| Boa Vista (Rural) | 1 | – | 1 |
| Bonfim | 1 | – | 1 |
| Cantá | 1 | – | 1 |
| Caroebe | 1 | – | 1 |
| Normandia | 1 | – | 1 |
| Pacaraima | 1 | – | 1 |
| São João da Baliza | 1 | – | 1 |
| Uiramutã | 1 | – | 1 |
Professor da Carreira de Magistério da Educação Indígena – Sociologia
Requisito: Nível Superior com Licenciatura em Sociologia.
| MUNICÍPIO PARA PROVIMENTO | AMPLA CONCORRÊNCIA | RESERVA PcD | QUANTIDADE TOTAL DE CARGOS |
|---|---|---|---|
| Alto Alegre | 1 | – | 1 |
| Amajari | 1 | – | 1 |
| Boa Vista (Rural) | 1 | – | 1 |
| Bonfim | 1 | – | 1 |
| Cantá | 1 | – | 1 |
| Normandia | 1 | – | 1 |
| Pacaraima | 1 | – | 1 |
| Uiramutã | 1 | – | 1 |
Professor da Carreira de Magistério da Educação Indígena- História
Requisito: Nível Superior com Licenciatura em História.
| MUNICÍPIO PARA PROVIMENTO | AMPLA CONCORRÊNCIA | RESERVA PcD | QUANTIDADE TOTAL DE CARGOS |
|---|---|---|---|
| Alto Alegre | 3 | – | 3 |
| Amajari | 1 | – | 4 |
| Boa Vista (Rural) | 1 | – | 4 |
| Bonfim | 8 | – | 8 |
| Cantá | 3 | – | 3 |
| Normandia | 12 | 1 | 13 |
| Pacaraima | 14 | 1 | 15 |
| São João da Baliza | 1 | – | 1 |
| Uiramutã | 14 | 1 | 15 |
Professor da Carreira de Magistério da Educação Indígena – Química
Requisito: Nível Superior com Licenciatura em Química:
| MUNICÍPIO PARA PROVIMENTO | AMPLA CONCORRÊNCIA | RESERVA PcD | QUANTIDADE TOTAL DE CARGOS |
|---|---|---|---|
| Alto Alegre | 2 | – | 2 |
| Amajari | 1 | – | 1 |
| Boa Vista (Rural) | 4 | – | 4 |
| Bonfim | 4 | – | 4 |
| Cantá | 1 | – | 1 |
| Caroebe | 1 | – | 1 |
| Normandia | 7 | – | 7 |
| Pacaraima | 6 | – | 6 |
| São João da Baliza | 1 | – | 1 |
| Uiramutã | 4 | – | 4 |
Professor da Carreira de Magistério da Educação Indígena Física
Requisito: Nível Superior com Licenciatura em Física:
| MUNICÍPIO PARA PROVIMENTO | AMPLA CONCORRÊNCIA | RESERVA PcD | QUANTIDADE TOTAL DE CARGOS |
|---|---|---|---|
| Alto Alegre | 2 | – | 2 |
| Amajari | 2 | – | 2 |
| Boa Vista (Rural) | 3 | – | 3 |
| Bonfim | 4 | – | 4 |
| Cantá | 1 | – | 1 |
| Normandia | 6 | – | 6 |
| Pacaraima | 7 | – | 7 |
| Uiramutã | 6 | – | 6 |
Professor da Carreira de Magistério da Educação Indígena – Arte
Requisito: Nível Superior com Licenciatura em Arte:
| MUNICÍPIO PARA PROVIMENTO | AMPLA CONCORRÊNCIA | RESERVA PcD | QUANTIDADE TOTAL DE CARGOS |
|---|---|---|---|
| Alto Alegre | 3 | – | 3 |
| Amajari | 1 | – | 1 |
| Boa Vista (Rural) | 3 | – | 3 |
| Bonfim | 2 | – | 2 |
| Cantá | 2 | – | 2 |
| Normandia | 6 | – | 6 |
| Pacaraima | 1 | – | 1 |
| Uiramutã | 3 | – | 3 |
Cargos e vagas: Professores da educação básica
O concurso SEED RR para o cargo de Professor de Educação Básica teve as provas aplicadas na cidade de Boa Vista.
- Professor de Educação Básica
Vagas: 650.
Requisitos: Licenciatura Plena em áreas específicas ou disciplinas do currículo do Ensino Médio e dos anos finais do Ensino Fundamental.
Atribuição: Participar da elaboração da proposta pedagógica da escola; elaborar e cumprir plano de trabalho segundo a proposta pedagógica da escola; zelar pela aprendizagem dos alunos; estabelecer e implementar estratégias de recuperação para os alunos de menor rendimento; ministrar as horas aula estabelecidas; cumprir os dias letivos previstos no calendário escolar.
Concurso SEED RR: Inscrições
O concurso registrou 2.707 inscritos. Os interessados em concorrer às vagas concurso SEED RR para educação indígena se inscreveram até o dia 11 de fevereiro de 2022, pelo site: www.idecan.org.br.
As taxas de inscrição foram fixadas em:
- R$ 70,00 para cargos de nível médio; e
- R$ 100,00 para cargos nível superior.
Concurso SEED RR: Etapas
O concurso SEED RR para o cargo de Professor da Carreira de Magistério da Educação Indígena foi dividido em:
Prova objetiva
As provas objetivas do concurso SEED RR para o cargo de professor de educação indígena foram realizadas dia 20 de março de 2022, no município de Boa Vista-RR, no turno manhã.
A avaliação objetiva foi de caráter habilitatório e classificatório, composta de 50 (cinquenta) questões de Língua Portuguesa, Raciocínio Lógico e Conhecimentos Específicos para cada cargo concorrido. Os itens das provas objetivas foram do tipo múltipla escolha, com 5 (cinco) opções (A a E) e uma única resposta correta.
Prova discursiva
As provas discursivas também foram realizadas dia 20 de março de 2022, no município de Boa Vista-RR, pela manhã.
A prova discursiva avaliou o domínio do conteúdo dos temas abordados, a experiência prévia do candidato e sua adequabilidade quanto às atribuições do cargo.
Prova de títulos
A avaliação dos títulos e o seu julgamento obedeceu aos seguintes critérios de pontuação:
| ITEM | PARA TODOS OS CARGOS | QUANTIDADE DE TÍTULOS (MÁXIMO) | VALOR UNITÁRIO (PONTOS) | VALOR MÁXIMO (PONTOS) |
|---|---|---|---|---|
| 1 | Especialização (mínimo 360 horas de carga horária) | 05 | 01 | 05 |
| 2 | Mestrado | 01 | 02 | 02 |
| 3 | Doutorado | 01 | 03 | 03 |
| TOTAL GERAL EM TÍTULOS | – | 10 |
Concurso SEED RR: Último concurso
O último concurso SEED RR ocorreu em 2021, com provas objetivas aplicadas em 26 de setembro, na cidade de Boa Vista. O cargo ofertado pelo edital foi o de Professor de Educação Básica.
Os candidatos foram avaliados por meio de uma prova objetiva, uma prova discursiva e a prova de títulos. Sendo as duas primeiras de caráter eliminatório e classificatório e a última de caráter apenas classificatório.
Concurso SEED: Materiais Gratuitos
Curso Gratuito Imparável
Você é imparável? Tem o desejo de vencer todas as dificuldades e realizar seus sonhos ? Possui disciplina e dedicação para estudar e alcançar seus objetivos? Se sim, então este curso é para você!
A nossa equipe de especialistas em concursos públicos organizou um material focado nas principais disciplinas e conteúdos cobrados nos concursos de todo o país! O melhor de tudo isso é que estamos disponibilizando de forma gratuita todo esse conteúdo! Então você não tem motivos para deixar essa oportunidade passar. A sua aprovação só depende de você e estamos aqui para te ajudar nessa jornada! Garanta a sua oportunidade no Curso Gratuito Imparável 2020!
Conte com o Gran Cursos Online para conquistar seus objetivos e realizar seus sonhos! Venha fazer parte do preparatório para concursos públicos que muda vidas!
Clique AQUI e comece a mudar de vida!
Resumo do edital SEED RR
Professores de educação indígena
| Concurso SEED RR | Secretaria de Estado da Educação e Desporto do Estado de Roraima |
|---|---|
| Situação atual | Homologado |
| Banca organizadora | IDECAN |
| Cargos | Professor da Carreira de Magistério da Educação Indígena |
| Escolaridade | nível médio e superior |
| Carreiras | Educação |
| Lotação | Roraima |
| Número de vagas | 1.000 vagas |
| Remuneração | de R$ 3.004,80 a R$ 3.782,94 |
| Inscrições | de 14/12/2021 a 11/02/2022 |
| Taxa de inscrição | de R$ 70,00 a R$ 100,00 |
| Data da prova objetiva | 20/03/2022 |
| Clique aqui para ver o edital SEED RR | |
Professores da educação básica
| Concurso Seed RR | SECRETARIA DO ESTADO DA EDUCAÇÃO E DESPORTO |
|---|---|
| Situação atual | Homologado |
| Banca organizadora | IBFC |
| Cargos | Professor de Educação Básica |
| Escolaridade | Nível superior |
| Carreiras | Educação |
| Lotação | Estado de Roraima |
| Número de vagas | 650 vagas |
| Remuneração | Inicial de R$ 3.782,94 |
| Inscrições | de 15/07/2021 a 07/09/2021 |
| Taxa de inscrição | de R$ 100,00 |
| Data da prova objetiva | 10/10/2021 |
| Clique aqui para ver o edital SEED RR | |
Quer ficar por dentro dos concursos públicos abertos e previstos pelo Brasil? Clique nos links abaixo:
Receba gratuitamente no seu celular as principais notícias do mundo dos concursos. Clique no link abaixo e inscreva-se:





Comentários (6)